2024-09-04
HW1 is due TONIGHT!
HW2 is posted (due next Wednesday)
Discussed data visualization principles and the role of infographics
Visualized 1D categorical data, i.e., make bar charts!
TODAY:
Pie charts…
Visualizing 2D categorical data
Begin 1D quantitative data
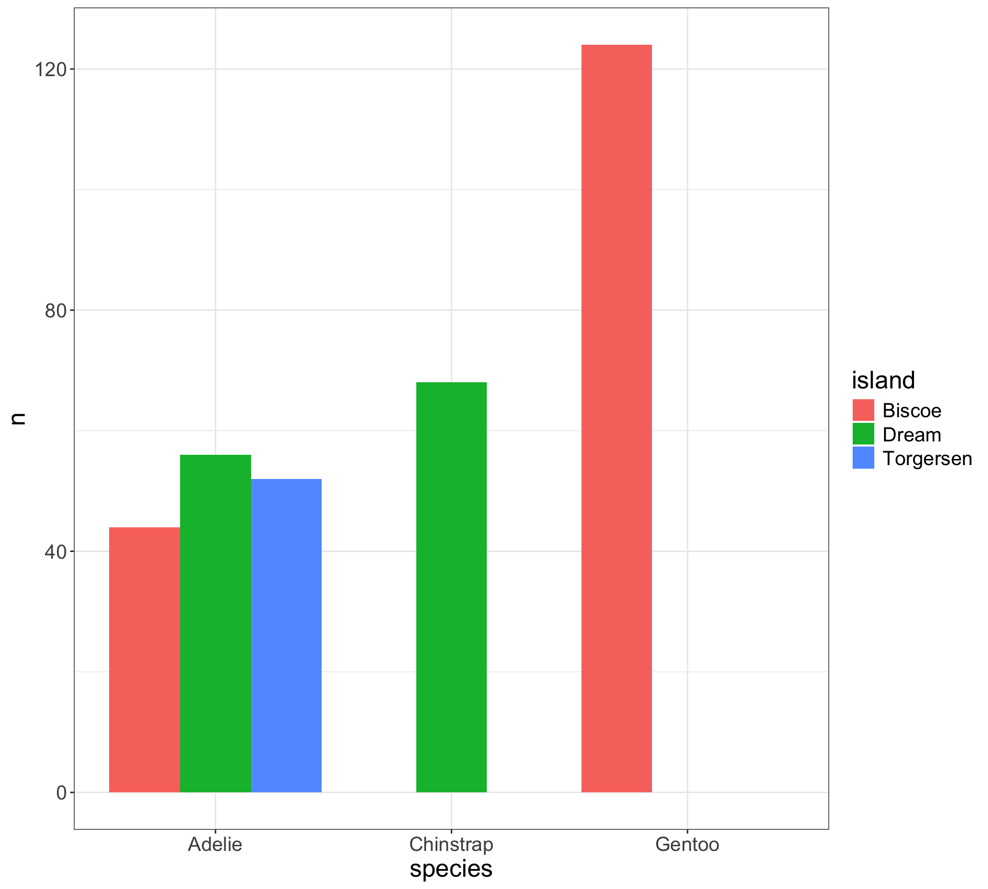
Island
Species Biscoe Dream Torgersen Sum
Adelie 44 56 52 152
Chinstrap 0 68 0 68
Gentoo 124 0 0 124
Sum 168 124 52 344
Column and row sums: marginal distributions
Values within rows: conditional distribution for Island given Species
Values within columns: conditional distribution for Species given Island
Bottom right: total number of observations
Five distributions for two categorical variables \(A\) and \(B\):
Marginals: \(P(A)\) and \(P(B)\)
Conditionals: \(P(A | B)\) and \(P(B|A)\)
Joint: \(P(A, B)\)
We use bar charts to visualize marginal distributions for categorical variables…
And we’ll use more bar charts to visualize conditional and joint distributions!
Easy to see marginal of species, i.e., \(P(\) x \()\)
Can see conditional of island | species, i.e., \(P(\) fill | x \()\)
Harder to see conditional of species | island, i.e., \(P(\) x | fill \()\)
Easy to see conditional of island | species, i.e., \(P(\) fill | x \()\)
Can see conditional of species | island, i.e., \(P(\) x | fill \()\)
Easy to see conditional of island | species, i.e., \(P(\) fill | x \()\)
Can see conditional of species | island, i.e., \(P(\) x | fill \()\)


\[ \chi^2 = \sum_{j=1}^K \frac{(O_j - E_j)^2}{E_j} \]
\(O_j\): observed counts in category \(j\)
\(E_j\): expected counts under \(H_0\), i.e., each category is equally to occur \(n / K = p_1 = p_2 = \dots = p_K\)
Computing \(p\)-values works like this:
Choose a test statistic.
Compute the test statistic in your dataset.
Is test statistic “unusual” compared to what I would expect under \(H_0\)?
Compare \(p\)-value to target error rate \(\alpha\) (typically referred to as target level \(\alpha\) )
Typically choose \(\alpha = 0.05\)

Again we use the chi-squared test:
\[\chi^2 = \sum_{i}^{K_A} \sum_{j}^{K_B} \frac{(O_{ij} - E_{ij})^2}{E_{ij}}\]
\(O_{ij}\): observed counts in contingency table
\(E_{ij}\): expected counts under \(H_0\)
\[ \begin{aligned} E_{ij} &= n \cdot P(A = a_i, B = b_j) \\ &= n \cdot P(A = a_i) P(B = b_j) \\ &= n \cdot \left( \frac{n_{i \cdot}}{n} \right) \left( \frac{ n_{\cdot j}}{n} \right) \end{aligned} \]
Again we use the chi-squared test:
\[\chi^2 = \sum_{i}^{K_A} \sum_{j}^{K_B} \frac{(O_{ij} - E_{ij})^2}{E_{ij}}\]
\(O_{ij}\): observed counts in contingency table
\(E_{ij}\): expected counts under \(H_0\)
Two variables are independent if knowing the level of one tells us nothing about the other
Create a mosaic plot using base R
\[\chi^2 = \sum_{i}^{K_A} \sum_{j}^{K_B} \frac{(O_{ij} - E_{ij})^2}{E_{ij}}\]
\[r_{ij} = \frac{O_{ij} - E_{ij}}{\sqrt{E_{ij}}}\]
\(r_{ij} \approx 0 \rightarrow\) observed counts are close to expected counts
\(|r_{ij}| > 2 \rightarrow\) “significant” at level \(\alpha = 0.05\).
Very positive \(r_{ij} \rightarrow\) more than expected, while very negative \(r_{ij} \rightarrow\) fewer than expected
Color by Pearson residuals to tell us which combos are much bigger/smaller than expected.
library(treemapify)
penguins |>
group_by(species, island) |>
summarize(count = n(), .groups = "drop") |>
ggplot(aes(area = count, subgroup = island,
label = species,
fill = interaction(species, island))) +
# 1. Draw species borders and fill colors
geom_treemap() +
# 2. Draw island borders
geom_treemap_subgroup_border() +
# 3. Print island text
geom_treemap_subgroup_text(place = "centre", grow = T,
alpha = 0.5, colour = "black",
fontface = "italic", min.size = 0) +
# 4. Print species text
geom_treemap_text(colour = "white", place = "topleft",
reflow = T) +
guides(colour = "none", fill = "none")
Observations are collected into a vector \((x_1, \dots, x_n)\), \(x_i \in \mathbb{R}\) (or \(\mathbb{R}^+\), \(\mathbb{Z}\))
Common summary statistics for 1D quantitative data:
Center: Mean, median, weighted mean, mode
Spread: Variance, range, min/max, quantiles, IQR
Shape: symmetry, skew, kurtosis (“peakedness”)
Compute various statistics with summary(), mean(), median(), quantile(), range(), sd(), var(), etc.
Probability that continuous variable \(X\) takes a particular value is 0
e.g., \(P\) (flipper_length_mm \(= 200\)) \(= 0\), why?
Instead we use the probability density function (PDF) to provide a relative likelihood
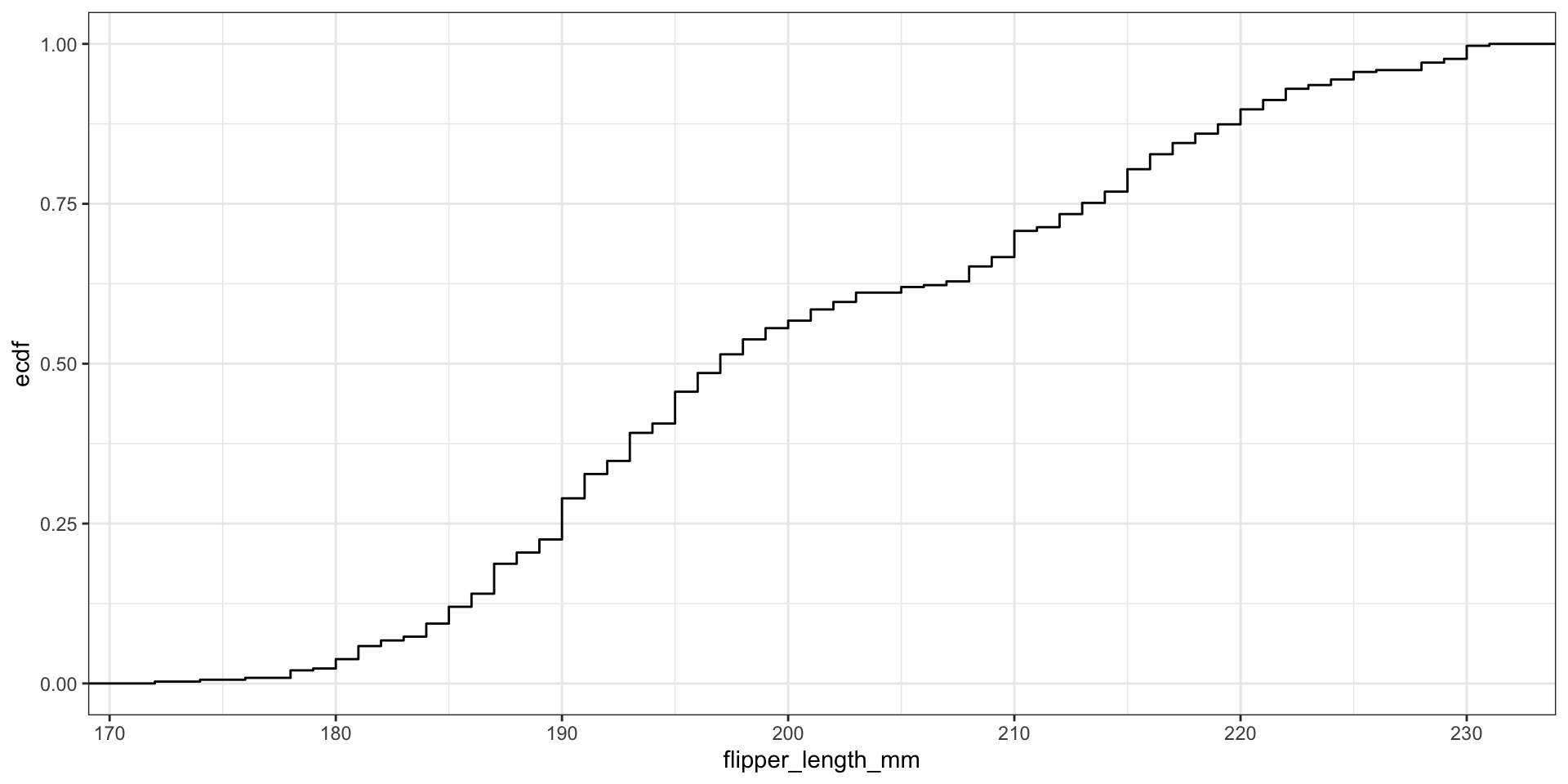
For continuous variables we can use the cumulative distribution function (CDF),
\[ F(x) = P(X \leq x) \]
For \(n\) observations we can easily compute the Empirical CDF (ECDF):
\[\hat{F}_n(x) = \frac{\text{# obs. with variable} \leq x}{n} = \frac{1}{n} \sum_{i=1}^{n}1(x_i \leq x)\]
ifelse(x_i <= x, 1, 0)

We compare the ECDF \(\hat{F}(x)\) to a theoretical distribution’s CDF \(F(x)\)
The one sample KS test statistic is: \(\text{max}_x |\hat{F}(x) - F(x)|\)
What if we assume flipper_length_mm follows Normal distribution?
flipper_length_mm \(\sim N(\mu, \sigma^2)\)Need estimates for mean \(\mu\) and standard deviation \(\sigma\):
Perform one-sample KS test using ks.test():
Visualize categorical data with bars! Regular, stacked, side-by-side, mosaic
Display uncertainty: (1D) standard errors, (2D) Pearson residuals
Visualize 1D quantitative data with histograms, ECDFs, but never use a box plot by itself
HW1 is due TONIGHT!
HW2 is posted (due next Wednesday)
Next time: Density Estimation
Recommended reading:
CW Chapter 11 Visualizing nested proportions, CW Chapter 7 Visualizing distributions: Histograms and density plots, CW Chapter 8 Visualizing distributions: Empirical cumulative distribution functions and q-q plots
# First create the ECDF function for the variable:
fl_ecdf <- ecdf(penguins$flipper_length_mm)
# Compute the absolute value of the differences between the ECDF for the values
# and the theoretical values with assumed Normal distribution:
abs_ecdf_diffs <- abs(fl_ecdf(penguins$flipper_length_mm) - pnorm(penguins$flipper_length_mm,
mean = flipper_length_mean, sd = flipper_length_sd))
# Now find where the maximum difference is:
max_abs_ecdf_diff_i <- which.max(abs_ecdf_diffs)
# Get this flipper length value:
max_fl_diff_value <- penguins$flipper_length_mm[max_abs_ecdf_diff_i]
# Plot the ECDF with the theoretical Normal and KS test info:
penguins |>
ggplot(aes(x = flipper_length_mm)) +
stat_ecdf(color = "darkblue") +
# Use stat_function to draw the Normal ECDF
stat_function(fun = pnorm, args = list(mean = flipper_length_mean, sd = flipper_length_sd), color = "black", linetype = "dashed") +
# Draw KS test line:
geom_vline(xintercept = max_fl_diff_value, color = "red") +
# Add text with the test results (x and y are manually entered locations)
annotate(geom = "text", x = 215, y = .25, label = "KS test stat = 0.12428\np-value = 5.163e-05") +
labs(x = "Flipper length (mm)", y = "Fn(x)") + theme_bw()