2024-09-09
HW2 is due Wednesday Sept 11th!
HW3 is posted and due next Wednesday Sept 18th
Visualized 2D categorical data with more bar charts, include mosaic plots
Walked through different approaches for 1D quantitative data visualization
TODAY:
Thinking carefully about histograms
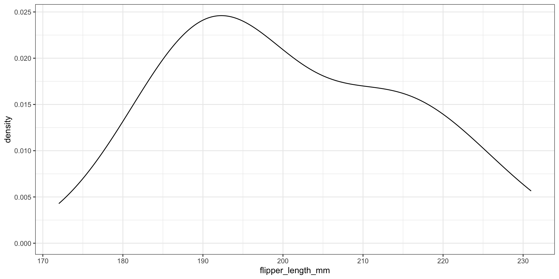
Introduction to density estimation
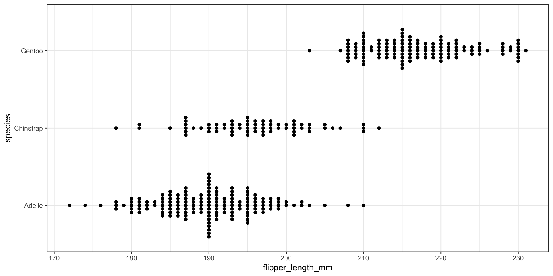
Visualization 1D quantitative by 1D categorical distributions
Will sample 100 draws from \(N(-1.5, 1)\) and 100 draws from \(N(1.5, 1)\)
Probability that continuous variable \(X\) takes a particular value is 0
e.g., \(P\) (flipper_length_mm \(= 200\)) \(= 0\), why?
Instead we use the probability density function (PDF) to provide a relative likelihood
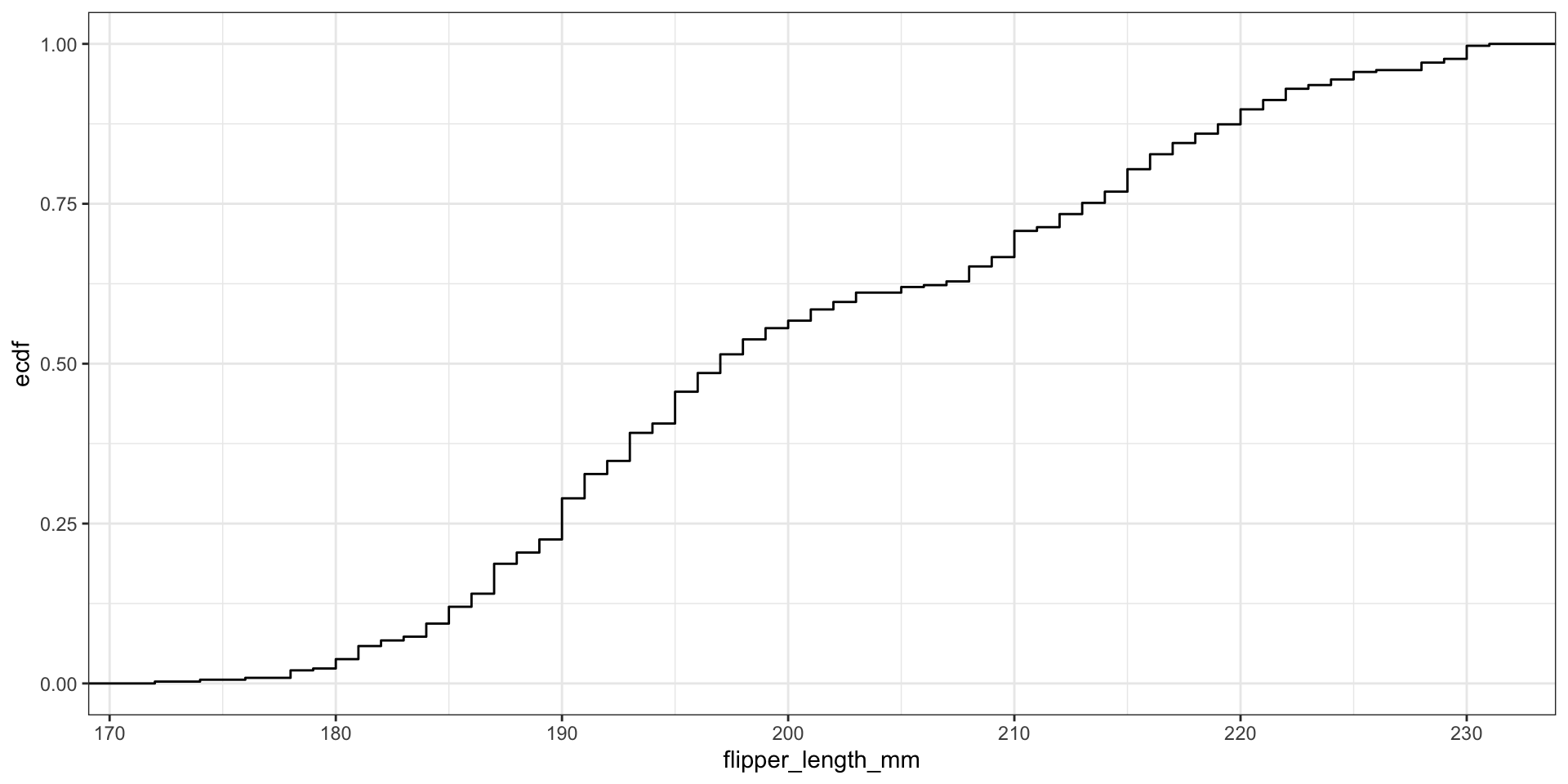
For continuous variables we can use the cumulative distribution function (CDF),
\[ F(x) = P(X \leq x) \]
For \(n\) observations we can easily compute the Empirical CDF (ECDF):
\[\hat{F}_n(x) = \frac{\text{# obs. with variable} \leq x}{n} = \frac{1}{n} \sum_{i=1}^{n}1(x_i \leq x)\]
ifelse(x_i <= x, 1, 0)

We compare the ECDF \(\hat{F}(x)\) to a theoretical distribution’s CDF \(F(x)\)
The one sample KS test statistic is: \(\text{max}_x |\hat{F}(x) - F(x)|\)
What if we assume flipper_length_mm follows Normal distribution?
flipper_length_mm \(\sim N(\mu, \sigma^2)\)Need estimates for mean \(\mu\) and standard deviation \(\sigma\):
Perform one-sample KS test using ks.test():
Goal: estimate the PDF \(f(x)\) for all possible values (assuming it is continuous / smooth)
\[ \text{Kernel density estimate: } \hat{f}(x) = \frac{1}{n} \sum_{i=1}^n \frac{1}{h} K_h(x - x_i) \]
\(h =\) bandwidth, analogous to histogram bin width, ensures \(\hat{f}(x)\) integrates to 1
\(x_i =\) \(i\)th observation in dataset
as \(|x - x_i| \rightarrow \infty\) then \(K_h(x - x_i) \rightarrow 0\), i.e. further apart \(i\)th row is from \(x\), smaller the weight
as bandwidth \(h \uparrow\) weights are more evenly spread out (as \(h \downarrow\) more concentrated around \(x\))
typically use Gaussian / Normal kernel: \(\propto e^{-(x - x_i)^2 / 2h^2}\)
\(K_h(x - x_i)\) is large when \(x_i\) is close to \(x\)
geom_density()Use Gaussian reference rule (rule-of-thumb) \(\approx 1.06 \cdot \sigma \cdot n^{-1/5}\), where \(\sigma\) is the observed standard deviation
Modify the bandwidth using the adjust argument - value to multiply default bandwidth by
Use Gaussian reference rule (rule-of-thumb) \(\approx 1.06 \cdot \sigma \cdot n^{-1/5}\), where \(\sigma\) is the observed standard deviation
Modify the bandwidth using the adjust argument - value to multiply default bandwidth by
ggridges packageggbeeswarm packageDiscussed impact of bins on histograms
Covered ECDFs and connection to KS-tests
Walked through density estimation
Discussed ways of visualizing conditional distributions
HW2 is due Wednesday Sept 11th!
HW3 is posted and due next Wednesday Sept 18th
Next time: 2D quantitative data
Recommended reading:
CW Chapter 7 Visualizing distributions: Histograms and density plots, CW Chapter 8 Visualizing distributions: Empirical cumulative distribution functions and q-q plots
# First create the ECDF function for the variable:
fl_ecdf <- ecdf(penguins$flipper_length_mm)
# Compute the absolute value of the differences between the ECDF for the values
# and the theoretical values with assumed Normal distribution:
abs_ecdf_diffs <- abs(fl_ecdf(penguins$flipper_length_mm) - pnorm(penguins$flipper_length_mm,
mean = flipper_length_mean, sd = flipper_length_sd))
# Now find where the maximum difference is:
max_abs_ecdf_diff_i <- which.max(abs_ecdf_diffs)
# Get this flipper length value:
max_fl_diff_value <- penguins$flipper_length_mm[max_abs_ecdf_diff_i]
# Plot the ECDF with the theoretical Normal and KS test info:
penguins |>
ggplot(aes(x = flipper_length_mm)) +
stat_ecdf(color = "darkblue") +
# Use stat_function to draw the Normal ECDF
stat_function(fun = pnorm, args = list(mean = flipper_length_mean, sd = flipper_length_sd), color = "black", linetype = "dashed") +
# Draw KS test line:
geom_vline(xintercept = max_fl_diff_value, color = "red") +
# Add text with the test results (x and y are manually entered locations)
annotate(geom = "text", x = 215, y = .25, label = "KS test stat = 0.12428\np-value = 5.163e-05") +
labs(x = "Flipper length (mm)", y = "Fn(x)") + theme_bw()